
Merck AMIKACIN HYDRATE, AMINOGLYCOSIDE ANTIBI&
상품 한눈에 보기
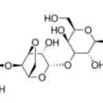
아미카신 하이드레이트는 아미노글리코사이드 계열 항생제로 세균 단백질 합성을 억제합니다. 연구용으로 사용되며 2–8°C에서 보관합니다. Merck Sigma에서 공급되며 분자량은 585.60(무수 기준)입니다.
브랜드: Merck Sigma
✨AI 추천 연관 상품
AI가 분석한 이 상품과 연관된 추천 상품들을 확인해보세요
연관 상품을 찾고 있습니다...
Merck AMIKACIN HYDRATE, AMINOGLYCOSIDE ANTIBI&
Merck Sigma에서 제공하는 아미카신 하이드레이트는 아미노글리코사이드 계열 항생제로, 세균 단백질 합성을 억제하는 연구용 시약입니다.
제품 설명
AMIKACIN HYDRATE, AMINOGLYCOSIDE ANTIBI&
AMIKACIN HYDRATE, AMINOGLYCOSIDE ANTIBI&
제품 사양
| 항목 | 내용 |
|---|---|
| Size (크기) | 1/G |
| Packaging UOM (포장 단위) | G |
| Number Of Containers Package Unit (포장 단위당 제품 수) | 5G/G |
| Individual Container Size In Package Unit (개별 포장당 용량) | 1/G |
| UNSPSC (UNSPSC 분류) | 51101500 |
| Flash Point (발화점) | Not applicable |
| CAS Number (CAS 번호) | 1257517-67-1 |
| Storage (보관온도) | 2–8°C |
| Molecular Formula (분자식) | C22H43N5O13 · xH2O |
| Molecular Weight (분자질량) | 585.60 (anhydrous basis) |
| Merck URL (머크 페이지 주소) | Merck Sigma 제품 페이지 |
| MSDS 링크 | MSDS 보기 |
제품 이미지
(이미지 없음)
🏷️Merck Sigma 상품 둘러보기
동일 브랜드의 다른 상품들을 확인해보세요
배송/결제/교환/반품 안내
배송 정보
| 기본 배송비 |
| 교환/반품 배송비 |
|
|---|---|---|---|
| 착불 배송비 |
| ||
| 교환/반품 배송비 |
| ||
결제 및 환불 안내
| 결제수단 |
|
|---|---|
| 취소 |
|
| 반품 |
|
| 환급 |
|
교환 및 반품 접수
| 교환 및 반품 접수 기한 |
|
|---|---|
| 교환 및 반품 접수가 가능한 경우 |
|
| 교환 및 반품 접수가 불가능한 경우 |
|
교환 및 반품 신청
| 교환 절차 |
|
|---|---|
| 반품 절차 |
|
문의 0
로그인 후 문의를 할 수 있습니다.



