
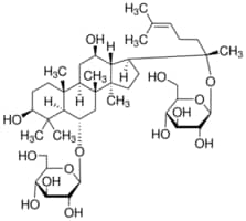
Merck GINSENOSIDE RG1
상품 한눈에 보기
고순도 인삼 사포닌 Ginsenoside Rg1 표준품. 생리활성 연구 및 품질관리용으로 사용. 안정적이며 2–8°C에서 보관. Merck Sigma에서 제공하는 신뢰성 높은 분석용 시약.
브랜드: Merck Sigma
✨AI 추천 연관 상품
AI가 분석한 이 상품과 연관된 추천 상품들을 확인해보세요
연관 상품을 찾고 있습니다...
Merck GINSENOSIDE RG1
Merck Sigma에서 제공하는 고품질 Ginsenoside Rg1 표준품으로, 생리활성 및 분석 연구에 적합합니다.
제품 설명
GINSENOSIDE RG1은 인삼에서 유래한 주요 사포닌 성분으로, 다양한 생리활성 연구에 활용됩니다.
제품 스펙
| 항목 | 내용 |
|---|---|
| Size (크기) | 1 MG |
| Packaging UOM (포장 단위) | MG |
| Number Of Containers Package Unit (포장 단위당 제품 수) | 50 MG/MG |
| Individual Container Size In Package Unit (개별 포장당 용량) | 1 MG |
| Flash Point (발화점) | Not applicable |
| Storage (보관온도) | 2–8°C |
| Molecular Formula (분자식) | C₄₂H₇₂O₁₄ |
| Molecular Weight (분자질량) | 801.01 |
| Merck URL (머크 페이지 주소) | Merck Sigma 제품 페이지 |
카탈로그 정보
- 제품 코드: PHR2200-50MG
- 제품명: GINSENOSIDE RG1
제품 이미지
(이미지 없음)
배송/결제/교환/반품 안내
배송 정보
| 기본 배송비 |
| 교환/반품 배송비 |
|
|---|---|---|---|
| 착불 배송비 |
| ||
| 교환/반품 배송비 |
| ||
결제 및 환불 안내
| 결제수단 |
|
|---|---|
| 취소 |
|
| 반품 |
|
| 환급 |
|
교환 및 반품 접수
| 교환 및 반품 접수 기한 |
|
|---|---|
| 교환 및 반품 접수가 가능한 경우 |
|
| 교환 및 반품 접수가 불가능한 경우 |
|
교환 및 반품 신청
| 교환 절차 |
|
|---|---|
| 반품 절차 |
|
문의 0
로그인 후 문의를 할 수 있습니다.




