
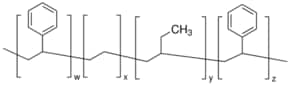
Merck POLYSTYRENE-B-POLY(ETHYLENE-RAN-BUTYLEN&
상품 한눈에 보기
고분자 블록 공중합체로 안정적인 물리적 특성을 제공. 실험용 소재로 다양한 화학 및 생명과학 연구에 활용 가능. Merck Sigma에서 제공하는 고순도 시약. 25°C에서 밀도 0.91 g/mL, CAS 번호 66070-58-4.
브랜드: Merck Sigma
✨AI 추천 연관 상품
AI가 분석한 이 상품과 연관된 추천 상품들을 확인해보세요
연관 상품을 찾고 있습니다...
제품명
Merck POLYSTYRENE-B-POLY(ETHYLENE-RAN-BUTYLEN&
공급업체
Merck Sigma
제품 설명
POLYSTYRENE-B-POLY(ETHYLENE-RAN-BUTYLEN&는 고분자 블록 공중합체로, 다양한 연구 및 실험 응용에 적합한 소재입니다. 안정된 물리적 성질을 가지며 화학적 내구성이 우수합니다.
제품 스펙
| 항목 | 내용 |
|---|---|
| Size (크기) | 1/G |
| Packaging UOM (포장 단위) | G |
| Number Of Containers Package Unit (포장 단위당 제품 수) | 250G/G |
| Individual Container Size In Package Unit (개별 포장당 용량) | 1/G |
| UNSPSC (UNSPSC 분류) | 12162002 |
| Flash Point (발화점) | Not applicable |
| CAS Number (CAS 번호) | 66070-58-4 |
| Density (밀도) | 0.91 g/mL at 25°C (lit.) |
관련 링크
추가 정보
제품 코드: 200565-250G
제품 이미지
(이미지 없음)
🏷️Merck Sigma 상품 둘러보기
동일 브랜드의 다른 상품들을 확인해보세요
배송/결제/교환/반품 안내
배송 정보
| 기본 배송비 |
| 교환/반품 배송비 |
|
|---|---|---|---|
| 착불 배송비 |
| ||
| 교환/반품 배송비 |
| ||
결제 및 환불 안내
| 결제수단 |
|
|---|---|
| 취소 |
|
| 반품 |
|
| 환급 |
|
교환 및 반품 접수
| 교환 및 반품 접수 기한 |
|
|---|---|
| 교환 및 반품 접수가 가능한 경우 |
|
| 교환 및 반품 접수가 불가능한 경우 |
|
교환 및 반품 신청
| 교환 절차 |
|
|---|---|
| 반품 절차 |
|
문의 0
로그인 후 문의를 할 수 있습니다.




