
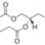
Merck 14:0 PEG350 PE
상품 한눈에 보기
Merck 14:0 PEG350 PE는 인지질 기반 PEG화 화합물로, 지질 연구 및 생체막 관련 실험에 적합합니다. 고순도 제품으로 안정적인 결과를 제공합니다. -20°C에서 보관하며, Merck Sigma에서 공급됩니다.
브랜드: Merck Sigma
✨AI 추천 연관 상품
AI가 분석한 이 상품과 연관된 추천 상품들을 확인해보세요
연관 상품을 찾고 있습니다...
Merck 14:0 PEG350 PE
Merck Sigma에서 제공하는 14:0 PEG350 PE는 인지질(Phosphatidylethanolamine) 구조에 PEG350이 결합된 화합물로, 생체막 연구 및 지질 상호작용 분석에 사용됩니다. 고순도 및 안정성이 뛰어나며, 다양한 생화학 및 생물물리학적 실험에 적합합니다.
제품 스펙
| 항목 | 내용 |
|---|---|
| Size (크기) | 1 MG |
| Packaging UOM (포장 단위) | MG |
| Number Of Containers Package Unit (포장 단위당 제품 수) | 25 MG/MG |
| Individual Container Size In Package Unit (개별 포장당 용량) | 1 MG |
| UNSPSC (UNSPSC 분류) | 12352211 |
| CAS Number (CAS 번호) | 474922-82-2 |
| Storage (보관온도) | -20°C |
| Merck URL (머크 페이지 주소) | Merck Sigma Product Page |
제품 설명
- 제품 코드: 880410P-25MG
- 명칭: 14:0 PEG350 PE
- 용도: 인지질 및 PEG화 화합물 연구용
제품 이미지
(이미지 없음)
배송/결제/교환/반품 안내
배송 정보
| 기본 배송비 |
| 교환/반품 배송비 |
|
|---|---|---|---|
| 착불 배송비 |
| ||
| 교환/반품 배송비 |
| ||
결제 및 환불 안내
| 결제수단 |
|
|---|---|
| 취소 |
|
| 반품 |
|
| 환급 |
|
교환 및 반품 접수
| 교환 및 반품 접수 기한 |
|
|---|---|
| 교환 및 반품 접수가 가능한 경우 |
|
| 교환 및 반품 접수가 불가능한 경우 |
|
교환 및 반품 신청
| 교환 절차 |
|
|---|---|
| 반품 절차 |
|
문의 0
로그인 후 문의를 할 수 있습니다.




