
Merck POLOXAMER 407
상품 한눈에 보기
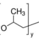
비이온성 계면활성제 Poloxamer 407로 생명과학 연구 및 제약 응용에 적합. 2-8°C에서 보관. Merck Sigma 제품으로 안정성과 품질이 우수. 다양한 생화학 실험 및 제형 연구에 활용 가능.
브랜드: Merck Sigma
✨AI 추천 연관 상품
AI가 분석한 이 상품과 연관된 추천 상품들을 확인해보세요
연관 상품을 찾고 있습니다...
Merck POLOXAMER 407
Merck Sigma의 Poloxamer 407은 생명과학 및 제약 연구에서 널리 사용되는 비이온성 계면활성제입니다. 안정성이 높고 다양한 생화학적 응용에 적합합니다.
제품 설명
POLOXAMER 407
제품 스펙
| 항목 | 내용 |
|---|---|
| Size (크기) | 1/EA |
| Packaging UOM (포장 단위) | EA |
| Number Of Containers Package Unit (포장 단위당 제품 수) | 1EA/EA |
| Individual Container Size In Package Unit (개별 포장당 용량) | 1/EA |
| UNSPSC (UNSPSC 분류) | 41116107 |
| Flash Point (발화점) | Not applicable |
| CAS Number (CAS 번호) | 2594628 |
| Storage (보관온도) | 2-8°C |
| Merck URL (머크 페이지 주소) | 제품 페이지 바로가기 |
| MSDS 링크 | MSDS 보기 |
배송/결제/교환/반품 안내
배송 정보
| 기본 배송비 |
| 교환/반품 배송비 |
|
|---|---|---|---|
| 착불 배송비 |
| ||
| 교환/반품 배송비 |
| ||
결제 및 환불 안내
| 결제수단 |
|
|---|---|
| 취소 |
|
| 반품 |
|
| 환급 |
|
교환 및 반품 접수
| 교환 및 반품 접수 기한 |
|
|---|---|
| 교환 및 반품 접수가 가능한 경우 |
|
| 교환 및 반품 접수가 불가능한 경우 |
|
교환 및 반품 신청
| 교환 절차 |
|
|---|---|
| 반품 절차 |
|
문의 0
로그인 후 문의를 할 수 있습니다.




